pv是什么意思?
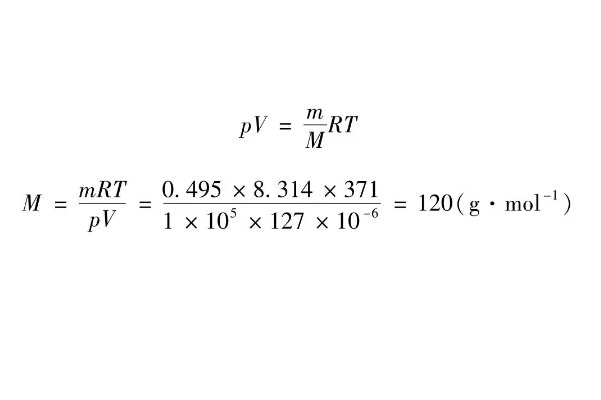
的有关信息介绍如下:pV=nRT是理想气体状态公式。
pV=nRT是理想气体状态公式,P指压强单位pa,V指体积单位m^3,n指气体的摩尔数(气体质量除以气体的摩尔质量),R是摩尔气体常量。一般国际制单位中R=8.31J、(mol.K),T为气体温度,一般以开尔文(K)为单位,这些都是国际单位制。

气体压强产生的原因是大量气体分子对容器壁的持续的、无规则撞击产生的。气体和液体都具有流动性,它们的压强有相似之处、大气压向各个方向都有,在同一位置各个方向的大气压强相等,但是由于大气的密度不是均匀的,所以大气压强的计算不能应用液体压强公式。
新闻的编辑手段
一条新闻发布以后,其PV数据便可以加以跟踪,通常是每5分钟统计一次。不同品牌的网站的不同频道,对其所发布的新闻的PV表现有一个大致的评判尺度。新闻发布后,一般PV值总有一个上升的过程。

可以从不同时段的PV表现,来计算PV的单位时间变化幅度,有经验的网络编辑,经过几个5分钟的数据积累,便能大致预料到这条新闻的PV峰值水平。如果这个水平不能令人满意,则编辑就要采取一些手段,如“优化”标题,或者增加其他吸引眼球的元素,如图片。



