您的位置首页百科问答

一个直立的火柴盒在桌面上倒下,启迪人们发现了勾股定理的一种新的验证方法。如图1,火柴盒的一个侧面ABC

一个直立的火柴盒在桌面上倒下,启迪人们发现了勾股定理的一种新的验证方法。如图1,火柴盒的一个侧面ABC

的有关信息介绍如下:

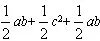
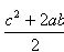
解:∵ 四边形BCC′D′为直角梯形

一个直立的火柴盒在桌面上倒下,启迪人们发现了勾股定理的一种新的验证方法。如图1,火柴盒的一个侧面ABC

=

一个直立的火柴盒在桌面上倒下,启迪人们发现了勾股定理的一种新的验证方法。如图1,火柴盒的一个侧面ABC

(BC+C′D′)·BD′=

一个直立的火柴盒在桌面上倒下,启迪人们发现了勾股定理的一种新的验证方法。如图1,火柴盒的一个侧面ABC

∵Rt△ABC与Rt△AB′C′全等∴∠BAC=∠BAC′∴∠CAC′=∠CAB′+∠B′AC′=∠CAB′+∠BAC=90°

一个直立的火柴盒在桌面上倒下,启迪人们发现了勾股定理的一种新的验证方法。如图1,火柴盒的一个侧面ABC

=

一个直立的火柴盒在桌面上倒下,启迪人们发现了勾股定理的一种新的验证方法。如图1,火柴盒的一个侧面ABC

=

一个直立的火柴盒在桌面上倒下,启迪人们发现了勾股定理的一种新的验证方法。如图1,火柴盒的一个侧面ABC

一个直立的火柴盒在桌面上倒下,启迪人们发现了勾股定理的一种新的验证方法。如图1,火柴盒的一个侧面ABC

一个直立的火柴盒在桌面上倒下,启迪人们发现了勾股定理的一种新的验证方法。如图1,火柴盒的一个侧面ABC